Climate Change Is Destabilizing Volcanoes or Climate Change Could Wake Up Canada’s Dormant Volcanoes

Interesting video about volcanoes and glaciers “starring” scientists from my alma mater.

I know the video is from the left-wing climate doom peddling CBC and it is quite shameful they use headlines implying climate change could “wake up” volcanoes.

I’ll concede that volcanoes can effect glaciers. But everything else is doom mongering.

A much better version of the story (from 3 months ago) is here.

“Researchers knew that fumaroles likely existed on the mountain — there had been reports of a sulphur-like smell near the mountain for years, not to mention hot springs in the area—but now, with the glaciers retreating, it seems they had emerged from beneath the snow and ice.”

 

French government prepared to back down on carbon tax increase to €88

How do you stop a carbon tax increase? Riot. A six month reprieve.

I was listening the the CBC (Canadas left-wing state-subsidized media) and not once did they mention the actual cost of this carbon tax was going to be a jump from €55 to €88.

Canada’s carbon tax is 30$. France was going to increase their carbon tax to 132$.

Don’t be surprised if Canada’s will jump that high if Trudeau is re-elected.

After the recent riots in France at the margins of the ‘yellow vests’ movement, the carbon tax adopted under François Hollande is expected to be revised downwards. EURACTIV France reports.

Having been expected to attend COP24 in Poland on Monday 3 (December), French Prime Minister Édouard Philippe cancelled his visit and instead held an increasing number of meetings with French MPs and ministers.

This resulted in a decision to back down on the French carbon tax, which has been criticised by the ‘yellow vests’ since the movement started a month ago.

It seems that the increasing tension, demonstrations and violence, and particularly the support of the French population for the ‘yellow vests’ movement – which is still strong – are the reasons for this U-turn, which will take the form of a freeze on the tax increase scheduled for January 2019.

The tax was supposed to increase from €55 to €88 per tonne of CO2 emitted on this date.

Energy East Comeback?

I think it is insane for Canada to be importing foreign oil. Reviving Energy East Pipeline makes sense to me.

New Brunswick’s new premier working to bring Energy East pipeline back from the dead

FREDERICTON — New Brunswick’s new premier is trying to revive the Energy East pipeline — even though the original proponent says the project is dead.

TransCanada Corporation abandoned the $15.7-billion project more than a year ago, after the National Energy Board modified the environmental assessment process.

But Premier Blaine Higgs, along with some other premiers and federal politicians, are again pushing the proposed pipeline as a way to get more western crude to refineries in Eastern Canada and for export to foreign markets.

Ontario and Quebec have also new elected new premiers this year, and Higgs said he thinks Energy East could be viable.

“The fact that Ontario has said they’re not opposed to oil coming through the province, there’s a hurdle that’s now gone. We know that Manitoba and Saskatchewan are fine and we know Alberta is looking for a way out,” said Higgs.

“We see Alberta now taking a strong position with buying rail cars and saying we’ve got to get our oil to market because they’re losing $80 million a day.”

Higgs said he recognizes Quebec could still be a hurdle and he plans to discuss the project with Premier Francois Legault this week at a first ministers meeting in Montreal.”

Image result for canada oil imports

Heating with Natural Gas vs. Electricity in BC (Canada)

Update/Correction: The author of the blog post noted in one list:

BASIC CHARGE ($0.4065/day) = 148.37

And didn’t carry it the list with the total.

And the delivery charge is 4.296 per GJ = 429.60 (100GJ for the year)

  1. DELIVERY CHARGE = $429.60
  2. BASIC CHARGE ($0.4065/day) = 148.37
  3. STORAGE AND TRANSPORT = $75.80
  4. COST OF THE GAS = $154.90
  5. MUNICIPAL OPERATING FEE = $20.40
  6. CARBON TAX = $173.82
  7. CLEAN ENERGY LEVY = $2.64
  8. GST = $42.73

GAS total corrected to: 1048.26

Not quite as dramatic a difference … but still huge.

  • End of Correction
  • Original post below

Great blog article comparing Heating with Natural Gas vs. Electricity in BC

The conclusion: Gas Wins at 1/4 of the price.

You pay more in GST for electricity than the actual cost of the gas.

 

A typical home in the southern interior will use 100 GJ (or 27,778kWh)  of energy to heat for a year. Smaller homes and more efficient furnaces can improve on this number, as can global warming because of warmer winters. Bigger homes or poorly insulated homes will use more.

Assuming that you require 100 GJ of heat for your home for the year, your gas costs will be:

  1. DELIVERY CHARGE = $42.96
  2. STORAGE AND TRANSPORT = $75.80
  3. COST OF THE GAS = $154.90
  4. MUNICIPAL OPERATING FEE = $20.40
  5. CARBON TAX = $173.82
  6. CLEAN ENERGY LEVY = $2.64
  7. GST = $42.73

TOTAL = $899.89

Using traditional baseboard heaters, the same amount of energy would cost you over $4,000/year with BC Hydro.

  1. 27,778 kWh at $0.13260/kWh = $3,683.34
  2. RATE RIDER = $184.17
  3. GST = 193.38

TOTAL = $4,060.88

 

B.C. NDP Accidentally Admits Carbon Tax Hurts The Economy

From Spencer Fernando’s Blog

The B.C. NDP are joining a court case pitting the Trudeau government against Ontario & Saskatchewan, who are arguing the Trudeau government can’t impose the carbon tax against the will of the provinces.

But B.C. is joining on the side of the Trudeau government, saying the carbon tax needs to be imposed. And they give a very ‘interesting’ reason why.

Here’s what B.C. Environment Minister George Heyman said:

“Greenhouse gases do not respect provincial boundaries or international boundaries for that matter. We will argue that there will be harm to our competitiveness if other provinces do not put a price on carbon.”

Wait a minute…

If the carbon tax doesn’t hurt the economy, how could B.C. having one and other provinces not having one hurt the B.C. economy?

It’s almost as if applying a massive tax on everything isn’t good for the economy…

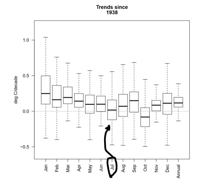
Canada: Virtually No Change in July/August Highs Since 1939

Ross McKitrick analyzed Canadian weather records. Summers aren’t any hotter.

Since 1939 there has been virtually no change in the median July and August daytime highs across Canada, and October has cooled
slightly

If people knew that summers won’t get an hotter and winters would get a little warmer, would anyone mind?

 

SUMMARY
Here are a few points that you might notice in the graphs and tables that follow.
1. There is a tradeoff between the number of available stations and the length of record. There are 30 stations with data back to 1888
and 267 stations with data back to 1978.
2. Over the past 130 years the median warming rate in the average daytime high is about 0.1 degrees per decade or 1 degree per
century.
3. Over long samples there is little polar amplification (increased warming with latitude) but it does appear in fall and winter months
in more recent subsamples.
4. Over the past 100 years, warming has been stronger in winter than summer or fall. October has cooled slightly. The Annual
average daytime high has increased by about 0.1 degrees per decade. 72 percent of stations did not exhibit statistically significant
warming or cooling.
5. Since 1939 there has been virtually no change in the median July and August daytime highs across Canada, and October has cooled
slightly.
6. There are 247 stations with data back to 1958. However as the time span decreases the range of observed trends greatly expands.
All months exhibit median warming but with much wider variability.
7. Post-1958 Arctic coverage is much better than earlier. There is little indication of polar amplification.
8. Post-1978 the range of trends grows dramatically. The median trend in March and April is slightly negative.
9. Some polar amplification is observed in the post-1978 annual trend, mainly due to the late fall and early winter months.

Saskatchewan Bright Sunshine Hours October 2018

Canada has essentially quit recording bright sunshine hours. What a tragedy.

Environment Canada And Climate Change (I can’t believe they changed the name to that!) has dropped the ball.

One exception is the Saskatchewan Research Council. They collect sunshine data at two locations.

This is the October data for Saskatoon.

The normal is 156.1 hours of bright sunshine.

October 2018 had 207.0 hours.

Too Many Polar Bears or … Can We Shoot More?

Too Many Polar Bears … or killing 600 a year isn’t keepin the numbers in check … or The Inuit want to sell  more hides.

There are too many polar bears in parts of Nunavut and climate change hasn’t yet affected any of them, says a draft management plan from the territorial government that contradicts much of conventional scientific thinking.

The proposed plan — which is to go to public hearings in Iqaluit on Tuesday — says that growing bear numbers are increasingly jeopardizing public safety and it’s time Inuit knowledge drove management policy.

“Inuit believe there are now so many bears that public safety has become a major concern,” says the document, the result of four years of study and public consultation.

“Public safety concerns, combined with the effects of polar bears on other species, suggest that in many Nunavut communities, the polar bear may have exceeded the co-existence threshold.”

Polar bears killed two Inuit last summer.

The plan leans heavily on Inuit knowledge, which yields population estimates higher than those suggested by western science for almost all of the 13 included bear populations.

Scientists say only one population of bears is growing; Inuit say there are nine. Environment Canada says four populations are shrinking; Inuit say none are.

 

Read the rest.

 

BC Carbon Tax – Gasoline Sales

The province of BC is touted as carbon tax success story. If you google “carbon tax success” BC always shows up.

Just ask the NY Times:

And of course that would mean less gasoline used .. right?

Gross sales of gasoline (1,000 liters)

 2012 4,682,115
 2013 4,504,633
 2014 4,687,564
 2015 5,481,062
 2016 5,770,067

23% more gasoline used in BC from 2012.

And CO2 emitted climbed from 2010 to 2015 (last year available)

Its just a tax grab.